



Abstract:Connected vehicle and driver's assistance applications are greatly facilitated by Enhanced Digital Maps (EDMs) that represent roadway features (e.g., lane edges or centerlines, stop bars). Due to the large number of signalized intersections and miles of roadway, manual development of EDMs on a global basis is not feasible. Mobile Terrestrial Laser Scanning (MTLS) is the preferred data acquisition method to provide data for automated EDM development. Such systems provide an MTLS trajectory and a point cloud for the roadway environment. The challenge is to automatically convert these data into an EDM. This article presents a new processing and feature extraction method, experimental demonstration providing SAE-J2735 map messages for eleven example intersections, and a discussion of the results that points out remaining challenges and suggests directions for future research.


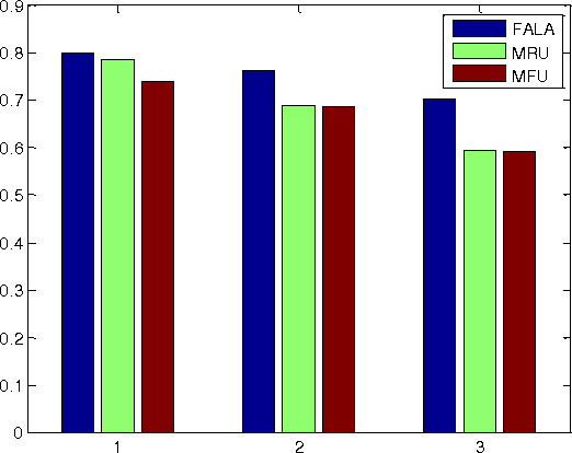
Abstract:Since its conception, smart app market has grown exponentially. Success in the app market depends on many factors among which the quality of the app is a significant contributor, such as energy use. Nevertheless, smartphones, as a subset of mobile computing devices. inherit the limited power resource constraint. Therefore, there is a challenge of maintaining the resource while increasing the target app quality. This paper introduces Learning Automata (LA) as an online learning method to learn and predict the app usage routines of the users. Such prediction can leverage the app cache functionality of the operating system and thus (i) decreases app launch time and (ii) preserve battery. Our algorithm, which is an online learning approach, temporally updates and improves the internal states of itself. In particular, it learns the transition probabilities between app launching. Each App launching instance updates the transition probabilities related to that App, and this will result in improving the prediction. We benefit from a real-world lifelogging dataset and our experimental results show considerable success with respect to the two baseline methods that are used currently for smartphone app prediction approaches.