



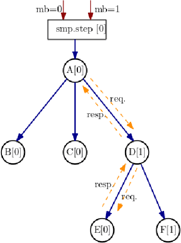
Abstract:With deep learning models rapidly growing in size, systems-level solutions for large-model training are required. We present Amazon SageMaker model parallelism, a software library that integrates with PyTorch, and enables easy training of large models using model parallelism and other memory-saving features. In contrast to existing solutions, the implementation of the SageMaker library is much more generic and flexible, in that it can automatically partition and run pipeline parallelism over arbitrary model architectures with minimal code change, and also offers a general and extensible framework for tensor parallelism, which supports a wider range of use cases, and is modular enough to be easily applied to new training scripts. The library also preserves the native PyTorch user experience to a much larger degree, supporting module re-use and dynamic graphs, while giving the user full control over the details of the training step. We evaluate performance over GPT-3, RoBERTa, BERT, and neural collaborative filtering, and demonstrate competitive performance over existing solutions.