South Westphalia University of Applied Sciences, Germany
Abstract:Modern multimodal systems deployed in industrial and safety-critical environments must remain reliable under partial sensor failures, signal degradation, or cross-modal inconsistencies. This work introduces a mathematically grounded framework for fault-tolerant multimodal representation learning that unifies self-supervised anomaly detection and error correction within a single architecture. Building upon a theoretical analysis of perturbation propagation, we derive Lipschitz- and Jacobian-based criteria that determine whether a neural operator amplifies or attenuates localized faults. Guided by this theory, we propose a two-stage self-supervised training scheme: pre-training a multimodal convolutional autoencoder on clean data to preserve localized anomaly signals in the latent space, and expanding it with a learnable compute block composed of dense layers for correction and contrastive objectives for anomaly identification. Furthermore, we introduce layer-specific Lipschitz modulation and gradient clipping as principled mechanisms to control sensitivity across detection and correction modules. Experimental results on multimodal fault datasets demonstrate that the proposed approach improves both anomaly detection accuracy and reconstruction under sensor corruption. Overall, this framework bridges the gap between analytical robustness guarantees and practical fault-tolerant multimodal learning.
Abstract:Neural network architectures designed for function parameterization, such as the Bag-of-Functions (BoF) framework, bridge the gap between the expressivity of deep learning and the interpretability of classical signal processing. However, these models are inherently sensitive to parameter initialization, as traditional data-agnostic schemes fail to capture the structural properties of the target signals, often leading to suboptimal convergence. In this work, we propose a prior-informed design strategy that leverages the intrinsic spectral and temporal structure of the data to guide both network initialization and architectural configuration. A principled methodology is introduced that uses the Fast Fourier Transform to extract dominant seasonal priors, informing model depth and initial states, and a residual-based regression approach to parameterize trend components. Crucially, this structural alignment enables a substantial reduction in encoder dimensionality without compromising reconstruction fidelity. A supporting theoretical analysis provides guidance on trend estimation under finite-sample regimes. Extensive experiments on synthetic and real-world benchmarks demonstrate that embedding data-driven priors significantly accelerates convergence, reduces performance variability across trials, and improves computational efficiency. Overall, the proposed framework enables more compact and interpretable architectures while outperforming standard initialization baselines, without altering the core training procedure.
Abstract:This paper proposes a policy-based deep reinforcement learning hyper-heuristic framework for solving the Job Shop Scheduling Problem. The hyper-heuristic agent learns to switch scheduling rules based on the system state dynamically. We extend the hyper-heuristic framework with two key mechanisms. First, action prefiltering restricts decision-making to feasible low-level actions, enabling low-level heuristics to be evaluated independently of environmental constraints and providing an unbiased assessment. Second, a commitment mechanism regulates the frequency of heuristic switching. We investigate the impact of different commitment strategies, from step-wise switching to full-episode commitment, on both training behavior and makespan. Additionally, we compare two action selection strategies at the policy level: deterministic greedy selection and stochastic sampling. Computational experiments on standard JSSP benchmarks demonstrate that the proposed approach outperforms traditional heuristics, metaheuristics, and recent neural network-based scheduling methods
Abstract:We present a novel framework for solving Dynamic Job Shop Scheduling Problems under uncertainty, addressing the challenges introduced by stochastic job arrivals and unexpected machine breakdowns. Our approach follows a model-based paradigm, using Coloured Timed Petri Nets to represent the scheduling environment, and Maskable Proximal Policy Optimization to enable dynamic decision-making while restricting the agent to feasible actions at each decision point. To simulate realistic industrial conditions, dynamic job arrivals are modeled using a Gamma distribution, which captures complex temporal patterns such as bursts, clustering, and fluctuating workloads. Machine failures are modeled using a Weibull distribution to represent age-dependent degradation and wear-out dynamics. These stochastic models enable the framework to reflect real-world manufacturing scenarios better. In addition, we study two action-masking strategies: a non-gradient approach that overrides the probabilities of invalid actions, and a gradient-based approach that assigns negative gradients to invalid actions within the policy network. We conduct extensive experiments on dynamic JSSP benchmarks, demonstrating that our method consistently outperforms traditional heuristic and rule-based approaches in terms of makespan minimization. The results highlight the strength of combining interpretable Petri-net-based models with adaptive reinforcement learning policies, yielding a resilient, scalable, and explainable framework for real-time scheduling in dynamic and uncertain manufacturing environments.




Abstract:In recent years, the development of multimodal autoencoders has gained significant attention due to their potential to handle multimodal complex data types and improve model performance. Understanding the stability and robustness of these models is crucial for optimizing their training, architecture, and real-world applicability. This paper presents an analysis of Lipschitz properties in multimodal autoencoders, combining both theoretical insights and empirical validation to enhance the training stability of these models. We begin by deriving the theoretical Lipschitz constants for aggregation methods within the multimodal autoencoder framework. We then introduce a regularized attention-based fusion method, developed based on our theoretical analysis, which demonstrates improved stability and performance during training. Through a series of experiments, we empirically validate our theoretical findings by estimating the Lipschitz constants across multiple trials and fusion strategies. Our results demonstrate that our proposed fusion function not only aligns with theoretical predictions but also outperforms existing strategies in terms of consistency, convergence speed, and accuracy. This work provides a solid theoretical foundation for understanding fusion in multimodal autoencoders and contributes a solution for enhancing their performance.
Abstract:This paper presents a novel method for enhancing the adaptability of Proportional-Integral-Derivative (PID) controllers in industrial systems using event-based dynamic game theory, which enables the PID controllers to self-learn, optimize, and fine-tune themselves. In contrast to conventional self-learning approaches, our proposed framework offers an event-driven control strategy and game-theoretic learning algorithms. The players collaborate with the PID controllers to dynamically adjust their gains in response to set point changes and disturbances. We provide a theoretical analysis showing sound convergence guarantees for the game given suitable stability ranges of the PID controlled loop. We further introduce an automatic boundary detection mechanism, which helps the players to find an optimal initialization of action spaces and significantly reduces the exploration time. The efficacy of this novel methodology is validated through its implementation in the temperature control loop of a printing press machine. Eventually, the outcomes of the proposed intelligent self-tuning PID controllers are highly promising, particularly in terms of reducing overshoot and settling time.
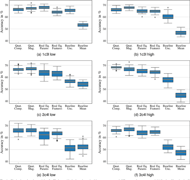
Abstract:This paper investigates the use of Evidence Theory to enhance the training efficiency of object detection models by incorporating uncertainty into the feedback loop. In each training iteration, during the validation phase, Evidence Theory is applied to establish a relationship between ground truth labels and predictions. The Dempster-Shafer rule of combination is used to quantify uncertainty based on the evidence from these predictions. This uncertainty measure is then utilized to weight the feedback loss for the subsequent iteration, allowing the model to adjust its learning dynamically. By experimenting with various uncertainty-weighting strategies, this study aims to determine the most effective method for optimizing feedback to accelerate the training process. The results demonstrate that using uncertainty-based feedback not only reduces training time but can also enhance model performance compared to traditional approaches. This research offers insights into the role of uncertainty in improving machine learning workflows, particularly in object detection, and suggests broader applications for uncertainty-driven training across other AI disciplines.




Abstract:This study presents a novel approach for predicting wall thickness changes in tubes during the nosing process. Specifically, we first provide a thorough analysis of nosing processes and the influencing parameters. We further set-up a Finite Element Method (FEM) simulation to better analyse the effects of varying process parameters. As however traditional FEM simulations, while accurate, are time-consuming and computationally intensive, which renders them inapplicable for real-time application, we present a novel modeling framework based on specifically designed graph neural networks as surrogate models. To this end, we extend the neural network architecture by directly incorporating information about the nosing process by adding different types of edges and their corresponding encoders to model object interactions. This augmentation enhances model accuracy and opens the possibility for employing precise surrogate models within closed-loop production processes. The proposed approach is evaluated using a new evaluation metric termed area between thickness curves (ABTC). The results demonstrate promising performance and highlight the potential of neural networks as surrogate models in predicting wall thickness changes during nosing forging processes.
Abstract:In this study, we introduce Modular State-based Stackelberg Games (Mod-SbSG), a novel game structure developed for distributed self-learning in modular manufacturing systems. Mod-SbSG enhances cooperative decision-making among self-learning agents within production systems by integrating State-based Potential Games (SbPG) with Stackelberg games. This hierarchical structure assigns more important modules of the manufacturing system a first-mover advantage, while less important modules respond optimally to the leaders' decisions. This decision-making process differs from typical multi-agent learning algorithms in manufacturing systems, where decisions are made simultaneously. We provide convergence guarantees for the novel game structure and design learning algorithms to account for the hierarchical game structure. We further analyse the effects of single-leader/multiple-follower and multiple-leader/multiple-follower scenarios within a Mod-SbSG. To assess its effectiveness, we implement and test Mod-SbSG in an industrial control setting using two laboratory-scale testbeds featuring sequential and serial-parallel processes. The proposed approach delivers promising results compared to the vanilla SbPG, which reduces overflow by 97.1%, and in some cases, prevents overflow entirely. Additionally, it decreases power consumption by 5-13% while satisfying the production demand, which significantly improves potential (global objective) values.




Abstract:This article describes a novel game structure for autonomously optimizing decentralized manufacturing systems with multi-objective optimization challenges, namely Distributed Stackelberg Strategies in State-Based Potential Games (DS2-SbPG). DS2-SbPG integrates potential games and Stackelberg games, which improves the cooperative trade-off capabilities of potential games and the multi-objective optimization handling by Stackelberg games. Notably, all training procedures remain conducted in a fully distributed manner. DS2-SbPG offers a promising solution to finding optimal trade-offs between objectives by eliminating the complexities of setting up combined objective optimization functions for individual players in self-learning domains, particularly in real-world industrial settings with diverse and numerous objectives between the sub-systems. We further prove that DS2-SbPG constitutes a dynamic potential game that results in corresponding converge guarantees. Experimental validation conducted on a laboratory-scale testbed highlights the efficacy of DS2-SbPG and its two variants, such as DS2-SbPG for single-leader-follower and Stack DS2-SbPG for multi-leader-follower. The results show significant reductions in power consumption and improvements in overall performance, which signals the potential of DS2-SbPG in real-world applications.