



Abstract:Reconfigurable Intelligent Surfaces (RIS) are transformative technologies for next-generation wireless communication, offering advanced control over electromagnetic wave propagation. While RIS have been extensively studied, Stacked Intelligent Metasurfaces (SIM), which extend the RIS concept to multi-layered systems, present significant modeling and optimization challenges. This work addresses these challenges by introducing a new optimization framework for heterogeneous SIM architectures that, compared to previous approaches, is based on a comprehensive model without relying on specific assumptions, allowing for a broader applicability of the results. To this end, we first present a model based on multi-port network theory for characterizing a general electromagnetic collaborative object (ECO) and derive a general framework for ECO optimization. We then introduce the SIM as an ECO with a specific architecture and provide insights into SIM optimization for various architectures, discussing the complexity in each case. Next, we analyze the impact of commonly used assumptions, and as a further contribution, we propose a backpropagation algorithm for implementing the gradient descent method for a simplified SIM configuration.




Abstract:A novel framework for covert communications aided by Reconfigurable Intelligent Surfaces (RIS) is proposed. In this general framework, the use of multiport network theory for modelling the RIS consider various aspects that traditional RIS models in communication theory often overlook, including mutual coupling between elements and the impact of structural scattering. Moreover, the transmitter has only limited knowledge about the channels of the warden and the intended receiver. The proposed approach is validated through numerical results, demonstrating that communication with the legitimate user is successfully achieved while satisfying the covertness constraint.




Abstract:This study focuses on the optimization of a single-cell multi-user multiple-input multiple-output (MIMO) system with multiple large-size reconfigurable intelligent surfaces (RISs). The overall transmit power is minimized by optimizing the precoding coefficients and the RIS configuration, with constraints on users' signal-to-interference-plus-noise ratios (SINRs). The minimization problem is divided into two sub-problems and solved by means of an iterative alternating optimization (AO) approach. The first sub-problem focuses on finding the best precoder design. The second sub-problem optimizes the configuration of the RISs by partitioning them into smaller tiles. Each tile is then configured as a combination of pre-defined configurations. This allows the efficient optimization of RISs, especially in scenarios where the computational complexity would be prohibitive using traditional approaches. Simulation results show the good performance and limited complexity of the proposed method in comparison to benchmark schemes.




Abstract:Consider a communication system in which a single antenna user equipment exchanges information with a multi-antenna base station via a reconfigurable intelligent surface (RIS) in the presence of spatially correlated channels and electromagnetic interference (EMI). To exploit the attractive advantages of RIS technology, accurate configuration of its reflecting elements is crucial. In this paper, we use statistical knowledge of channels and EMI to optimize the RIS elements for i) accurate channel estimation and ii) reliable data transmission. In both cases, our goal is to determine the RIS coefficients that minimize the mean square error, resulting in the formulation of two non-convex problems that share the same structure. To solve these two problems, we present an alternating optimization approach that reliably converges to a locally optimal solution. The incorporation of the diagonally scaled steepest descent algorithm, derived from Newton's method, ensures fast convergence with manageable complexity. Numerical results demonstrate the effectiveness of the proposed method under various propagation conditions. Notably, it shows significant advantages over existing alternatives that depend on a sub-optimal configuration of the RIS and are derived on the basis of different criteria.




Abstract:Multiport network theory has been proved to be a suitable abstraction model for analyzing and optimizing reconfigurable intelligent surfaces (RISs), especially for studying the impact of the electromagnetic mutual coupling among radiating elements that are spaced less than half of the wavelength. Both representations in terms of $Z$-parameter (impedance) and $S$-parameter (scattering) matrices are widely utilized. In this paper, we embrace multiport network theory for analyzing and optimizing the reradiation properties of RIS-aided channels, and provide four new contributions. (i) First, we offer a thorough comparison between the $Z$-parameter and $S$-parameter representations. This comparison allows us to unveil that the typical scattering models utilized for RIS-aided channels ignore the structural scattering from the RIS, which results in an unwanted specular reflection. (ii) Then, we develop an iterative algorithm for optimizing, in the presence of electromagnetic mutual coupling, the tunable loads of the RIS based on the $S$-parameters representation. We prove that small perturbations of the step size of the algorithm result in larger variations of the $S$-parameter matrix compared with the $Z$-parameter matrix, resulting in a faster convergence rate. (iii) Subsequently, we generalize the proposed algorithm to suppress the specular reflection due to the structural scattering, while maximizing the received power towards the direction of interest, and analyze the effectiveness and tradeoffs of the proposed approach. (iv) Finally, we validate the theoretical findings and algorithms with numerical simulations and a commercial full-wave electromagnetic simulator based on the method of moments.

Abstract:In this paper, we consider a reconfigurable intelligent surface (RIS) and model it by using multiport network theory. We first compare the representation of RIS by using $Z$-parameters and $S$-parameters, by proving their equivalence and discussing their distinct features. Then, we develop an algorithm for optimizing the RIS configuration in the presence of electromagnetic mutual coupling. We show that the proposed algorithm based on optimizing the $S$-parameters results in better performance than existing algorithms based on optimizing the $Z$-parameters. This is attributed to the fact that small perturbations of the step size of the proposed algorithm result in larger variations of the $S$-parameters, hence increasing the convergence speed of the algorithm.
Abstract:We consider a multiple-input multiple-output (MIMO) channel in the presence of a reconfigurable intelligent surface (RIS). Specifically, our focus is on analyzing the spatial multiplexing gains in line-of-sight and low-scattering MIMO channels in the near field. We prove that the channel capacity is achieved by diagonalizing the end-to-end transmitter-RIS-receiver channel, and applying the water-filling power allocation to the ordered product of the singular values of the transmitter-RIS and RIS-receiver channels. The obtained capacity-achieving solution requires an RIS with a non-diagonal matrix of reflection coefficients. Under the assumption of nearly-passive RIS, i.e., no power amplification is needed at the RIS, the water-filling power allocation is necessary only at the transmitter. We refer to this design of RIS as a linear, nearly-passive, reconfigurable electromagnetic object (EMO). In addition, we introduce a closed-form and low-complexity design for RIS, whose matrix of reflection coefficients is diagonal with unit-modulus entries. The reflection coefficients are given by the product of two focusing functions: one steering the RIS-aided signal towards the mid-point of the MIMO transmitter and one steering the RIS-aided signal towards the mid-point of the MIMO receiver. We prove that this solution is exact in line-of-sight channels under the paraxial setup. With the aid of extensive numerical simulations in line-of-sight (free-space) channels, we show that the proposed approach offers performance (rate and degrees of freedom) close to that obtained by numerically solving non-convex optimization problems at a high computational complexity. Also, we show that it provides performance close to that achieved by the EMO (non-diagonal RIS) in most of the considered case studies.




Abstract:In this paper we propose a novel framework that aims to jointly design the reflection coefficients of multiple reconfigurable intelligent surfaces (RISs) and the precoding strategy of a single base station (BS) to optimize the tracking of the position and the velocity of a single multi-antenna user equipment (UE). Differently from the literature, and to keep the overall complexity affordable, we assume that RIS optimization is performed less frequently than localization and precoding adaptation. The optimal RIS and precoder strategy is compared with the classical beam focusing strategy and that which maximizes the communication rate. It is shown that if the RISs are optimized for communication, the solution is suboptimal when used for tracking purposes. Numerical results show that it is possible to achieve the 6G positioning requirements in a typical indoor environment with only one BS and a few RISs operating at millimeter waves.




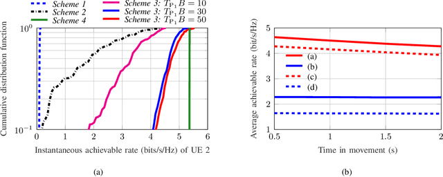
Abstract:Reconfigurable intelligent surfaces (RISs) have tremendous potential to boost communication performance, especially when the line-of-sight (LOS) path between the user equipment (UE) and base station (BS) is blocked. To control the RIS, channel state information (CSI) is needed, which entails significant pilot overhead. To reduce this overhead and the need for frequent RIS reconfiguration, we propose a novel framework for integrated localization and communication, where RIS configurations are fixed during location coherence intervals, while BS precoders are optimized every channel coherence interval. This framework leverages accurate location information obtained with the aid of several RISs as well as novel RIS optimization and channel estimation methods. Performance in terms of localization accuracy, channel estimation error, and achievable rate demonstrates the efficacy of the proposed approach.




Abstract:In this article, we propose a reliable and low-latency Long Range Wide Area Network (LoRaWAN) solution for environmental monitoring in factories at major accident risk (FMAR). In particular, a low power wearable device for sensing the toxic inflammable gases inside an industrial plant is designed with the purpose of avoiding peculiar risks and unwanted accidents to occur. Moreover, the detected data have to be urgently and reliably delivered to remote server to trigger preventive immediate actions so as to improve the machine operation. In these settings, LoRaWAN has been identified as the most proper communications technology to the needs owing to the availability of off the shelf devices and software. Hence, we assess the technological limits of LoRaWAN in terms of latency and reliability and we propose a fully LoRaWAN compliant solution to overcome these limits. The proposed solution envisages coordinated end device (ED) transmissions through the use of Downlink Control Packets (DCPs). Experimental results validate the proposed method in terms of service requirements for the considered FMAR scenario.