



Abstract:With the advances in artificial intelligence (AI), data-driven algorithms are becoming increasingly popular in the medical domain. However, due to the nonlinear and complex behavior of many of these algorithms, decision-making by such algorithms is not trustworthy for clinicians and is considered a black-box process. Hence, the scientific community has introduced explainable artificial intelligence (XAI) to remedy the problem. This systematic scoping review investigates the application of XAI in breast cancer detection and risk prediction. We conducted a comprehensive search on Scopus, IEEE Explore, PubMed, and Google Scholar (first 50 citations) using a systematic search strategy. The search spanned from January 2017 to July 2023, focusing on peer-reviewed studies implementing XAI methods in breast cancer datasets. Thirty studies met our inclusion criteria and were included in the analysis. The results revealed that SHapley Additive exPlanations (SHAP) is the top model-agnostic XAI technique in breast cancer research in terms of usage, explaining the model prediction results, diagnosis and classification of biomarkers, and prognosis and survival analysis. Additionally, the SHAP model primarily explained tree-based ensemble machine learning models. The most common reason is that SHAP is model agnostic, which makes it both popular and useful for explaining any model prediction. Additionally, it is relatively easy to implement effectively and completely suits performant models, such as tree-based models. Explainable AI improves the transparency, interpretability, fairness, and trustworthiness of AI-enabled health systems and medical devices and, ultimately, the quality of care and outcomes.




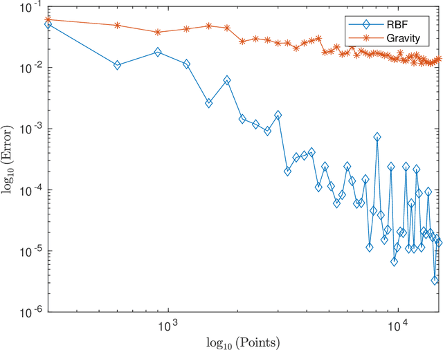
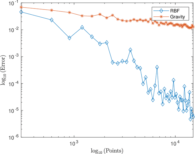
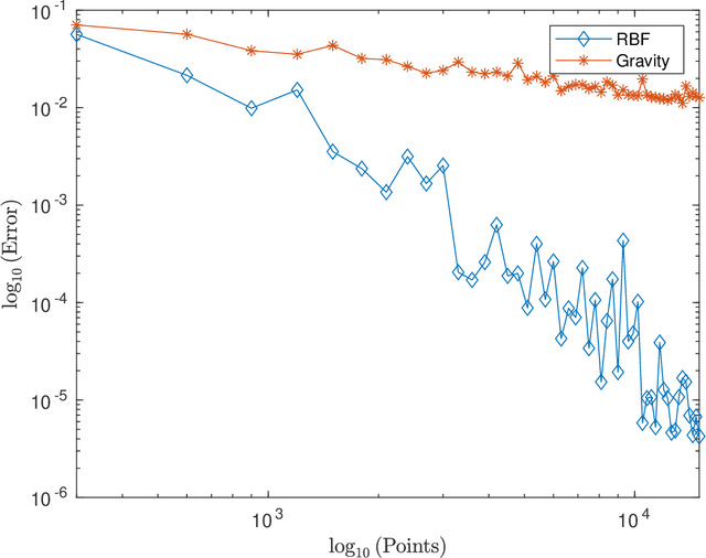
Abstract:In this paper, the accuracy of two mesh-free approximation approaches, the Gravity model and Radial Basis Function, are compared. The two schemes' convergence behaviors prove that RBF is faster and more accurate than the Gravity model. As a case study, the interpolation of temperature at different locations in Tennesse, USA, are compared. Delaunay mesh generation is used to create random points inside and on the border, which data can be incorporated in these locations. 49 MERRA weather stations as used as data sources to provide the temperature at a specific day and hour. The contours of interpolated temperatures provided in the result section assert RBF is a more accurate method than the Gravity model by showing a smoother and broader range of interpolated data.