Abstract:In this work, we propose two methods to design zero constellations for binary modulation on conjugate-reciprocal zeros (BMOCZ). In the first approach, we treat constellation design as a multi-label binary classification problem and learn the zero locations for a direct zero-testing (DiZeT) decoder. In the second approach, we introduce a neural network (NN)-based decoder and jointly learn the decoder and zero constellation parameters. We show that the NN-based decoder can directly generalize to flat-fading channels, despite being trained under additive white Gaussian noise. Furthermore, the results of numerical simulations demonstrate that learned zero constellations outperform the canonical, Huffman BMOCZ constellation, with the proposed NN-based decoder achieving large performance gain at the expense of increased computational complexity.
Abstract:In this study, we propose a new binary modulation on conjugate-reciprocal zeros (BMOCZ) zero constellation, which we call smooshed binary modulation on conjugate-reciprocal zeros (SBMOCZ), to address carrier frequency offset (CFO)-induced zero rotation without depending on channel coding. In our approach, we modify the phase mapping of Huffman BMOCZ by shrinking the angle between adjacent zeros, except for the first and last, to introduce a gap in the zero constellation. By discerning the gap location in the received polynomial, the receiver can estimate and correct the phase rotation. We demonstrate the error rate performance of SBMOCZ relative to Huffman BMOCZ, showing that SBMOCZ addresses a CFO-induced rotation at the cost of a modest performance reduction compared to Huffman BMOCZ in the absence of a CFO. Finally, we compare SBMOCZ to Huffman BMOCZ using a cyclically permutable code (CPC), showing a 4 dB bit error rate (BER) improvement in a fading channel, while demonstrating comparable performance across other simulations.
Abstract:In this work, we propose jutted binary modulation on conjugate-reciprocal zeros (J-BMOCZ) for non-coherent communication under a carrier frequency offset (CFO). By introducing asymmetry to the Huffman BMOCZ zero constellation, we exploit the identical aperiodic auto-correlation function of BMOCZ to derive a Fourier-domain metric for CFO estimation. Unlike the existing methods for Huffman BMOCZ, which require a cyclically permutable code (CPC) for pilot-free CFO correction, J-BMOCZ enables the estimation of a CFO without the use of pilots or channel coding. Through numerical simulations in additive white Gaussian noise and fading channels, we show that the bit error rate (BER) loss of J-BMOCZ under a CFO is just 1 dB over Huffman BMOCZ without a CFO. Furthermore, the results show that coded J-BMOCZ achieves better BER performance than Huffman BMOCZ with a CPC.




Abstract:In this work, we investigate the radius maximizing reliability for binary modulation on conjugate-reciprocal zeros (BMOCZ) implemented with both maximum likelihood (ML) and direct zero-testing (DiZeT) decoders. We first show that the optimal radius for BMOCZ is a function of the employed decoder and that the radius maximizing the minimum distance between polynomial zeros does not maximize the minimum distance of the final code. While maximizing zero separation offers an almost optimal solution with the DiZeT decoder, simulations show that the ML decoder outperforms the DiZeT decoder in both additive white Gaussian noise (AWGN) and fading channels when the radius is chosen to maximize codeword separation. Finally, we analyze different sequence-to-subcarrier mappings for BMOCZ-based orthogonal frequency division multiplexing (OFDM). We highlight a flexible time-frequency OFDM waveform that avoids distortion introduced by a frequency-selective channel at the expense of a higher peak-to-average power ratio (PAPR).
Abstract:In this study, we propose a new approach to compute the majority vote (MV) function based on modulation on conjugate-reciprocal zeros (MOCZ) and introduce three different methods. The proposed methods rely on the fact that when a linear combination of polynomials is evaluated at one of the roots of a polynomial in the combination, that polynomial does contribute to the evaluation. To utilize this property, each transmitter maps the votes to the zeros of a Huffman polynomial, and the corresponding polynomial coefficients are transmitted. The receiver evaluates the polynomial constructed by the elements of the superposed sequence at conjugate-reciprocal zero pairs and detects the MV with a direct zero-testing (DiZeT) decoder. With differential and index-based encoders, we eliminate the need for power-delay information at the receiver while improving the computation error rate (CER) performance. The proposed methods do not use instantaneous channel state information at the transmitters and receiver. Thus, they provide robustness against phase and time synchronization errors. We theoretically analyze the CERs of the proposed methods. Finally, we demonstrate their efficacy in a distributed median computation scenario in a fading channel.
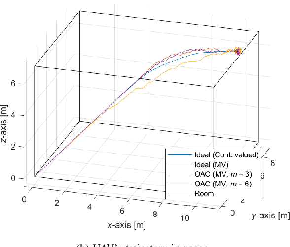
Abstract:In this study, we propose a non-coherent over-the-air computation (OAC) scheme to calculate the majority vote (MV) reliably in fading channels. The proposed approach relies on modulating the amplitude of the elements of complementary sequences (CSs) based on the sign of the parameters to be aggregated. Since it does not use channel state information at the nodes, it is compatible with time-varying channels. To demonstrate the efficacy of our method, we employ it in a scenario where an unmanned aerial vehicle (UAV) is guided by distributed sensors, relying on the MV computed using our proposed scheme. We show that the proposed scheme reduces the computation error rate notably with a longer sequence length in fading channels while maintaining the peak-to-mean-envelope power ratio of the transmitted orthogonal frequency division multiplexing signals to be less than or equal to 3 dB.
Abstract:This study introduces a novel non-coherent over-the-air computation (OAC) scheme aimed at achieving reliable majority vote (MV) calculations in fading channels. The proposed approach relies on modulating the amplitude of the elements of complementary sequences (CSs) based on the sign of the parameters to be aggregated. Notably, our method eliminates the reliance on channel state information at the nodes, rendering it compatible with time-varying channels. To demonstrate the efficacy of our approach, we employ it in a scenario where an unmanned aerial vehicle (UAV) is guided by distributed sensors, relying on the MV computed using our proposed scheme. The experimental results confirm the superiority of our approach, as evidenced by a significant reduction in computation error rates in fading channels, particularly with longer sequence lengths. Meanwhile, we ensure that the peak-to-mean-envelope power ratio of the transmitted orthogonal frequency division multiplexing signals remains within or below 3 dB.
Abstract:In this study, we propose using an over-the-air computation (OAC) scheme for the federated k-means clustering algorithm to reduce the per-round communication latency when it is implemented over a wireless network. The OAC scheme relies on an encoder exploiting the representation of a number in a balanced number system and computes the sum of the updates for the federated k-means via signal superposition property of wireless multiple-access channels non-coherently to eliminate the need for precise phase and time synchronization. Also, a reinitialization method for ineffectively used centroids is proposed to improve the performance of the proposed method for heterogeneous data distribution. For a customer-location clustering scenario, we demonstrate the performance of the proposed algorithm and compare it with the standard k-means clustering. Our results show that the proposed approach performs similarly to the standard k-means while reducing communication latency.




Abstract:Communication and computation are often viewed as separate tasks. This approach is very effective from the perspective of engineering as isolated optimizations can be performed. On the other hand, there are many cases where the main interest is a function of the local information at the devices instead of the local information itself. For such scenarios, information theoretical results show that harnessing the interference in a multiple-access channel for computation, i.e., over-the-air computation (OAC), can provide a significantly higher achievable computation rate than the one with the separation of communication and computation tasks. Besides, the gap between OAC and separation in terms of computation rate increases with more participating nodes. Given this motivation, in this study, we provide a comprehensive survey on practical OAC methods. After outlining fundamentals related to OAC, we discuss the available OAC schemes with their pros and cons. We then provide an overview of the enabling mechanisms and relevant metrics to achieve reliable computation in the wireless channel. Finally, we summarize the potential applications of OAC and point out some future directions.




Abstract:In this study, we propose a digital over-the-air computation (OAC) scheme for achieving continuous-valued (analog) aggregation for federated edge learning (FEEL). We show that the average of a set of real-valued parameters can be calculated approximately by using the average of the corresponding numerals, where the numerals are obtained based on a balanced number system. By exploiting this key property, the proposed scheme encodes the local stochastic gradients into a set of numerals. Next, it determines the positions of the activated orthogonal frequency division multiplexing (OFDM) subcarriers by using the values of the numerals. To eliminate the need for precise sample-level time synchronization, channel estimation overhead, and channel inversion, the proposed scheme also uses a non-coherent receiver at the edge server (ES) and does not utilize a pre-equalization at the edge devices (EDs). We theoretically analyze the MSE performance of the proposed scheme and the convergence rate for a non-convex loss function. To improve the test accuracy of FEEL with the proposed scheme, we introduce the concept of adaptive absolute maximum (AAM). Our numerical results show that when the proposed scheme is used with AAM for FEEL, the test accuracy can reach up to 98% for heterogeneous data distribution.