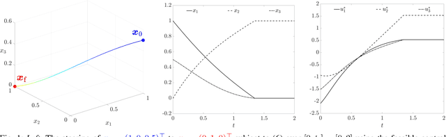
Abstract:Given a controlled diffusion and a connected, bounded, Lipschitz set, when is it possible to guarantee controlled set invariance with probability one? In this work, we answer this question by deriving the necessary and sufficient conditions for the same in terms of gradients of certain log-likelihoods -- a.k.a. score vector fields -- for two cases: given finite time horizon and infinite time horizon. The deduced conditions comprise a score-based test that provably certifies or falsifies the existence of Markovian controllers for given controlled set invariance problem data. Our results are constructive in the sense when the problem data passes the proposed test, we characterize all controllers guaranteeing the desired set invariance. When the problem data fails the proposed test, there does not exist a controller that can accomplish the desired set invariance with probability one. The computation in the proposed tests involve solving certain Dirichlet boundary value problems, and in the finite horizon case, can also account for additional constraint of hitting a target subset at the terminal time. We illustrate the results using several semi-analytical and numerical examples.
Abstract:For a controllable linear time-varying (LTV) pair $(\boldsymbol{A}_t,\boldsymbol{B}_t)$ and $\boldsymbol{Q}_{t}$ positive semidefinite, we derive the Markov kernel for the It\^{o} diffusion ${\mathrm{d}}\boldsymbol{x}_{t}=\boldsymbol{A}_{t}\boldsymbol{x}_t {\mathrm{d}} t + \sqrt{2}\boldsymbol{B}_{t}{\mathrm{d}}\boldsymbol{w}_{t}$ with an accompanying killing of probability mass at rate $\frac{1}{2}\boldsymbol{x}^{\top}\boldsymbol{Q}_{t}\boldsymbol{x}$. This Markov kernel is the Green's function for an associated linear reaction-advection-diffusion partial differential equation. Our result generalizes the recently derived kernel for the special case $\left(\boldsymbol{A}_t,\boldsymbol{B}_t\right)=\left(\boldsymbol{0},\boldsymbol{I}\right)$, and depends on the solution of an associated Riccati matrix ODE. A consequence of this result is that the linear quadratic non-Gaussian Schr\"{o}dinger bridge is exactly solvable. This means that the problem of steering a controlled LTV diffusion from a given non-Gaussian distribution to another over a fixed deadline while minimizing an expected quadratic cost can be solved using dynamic Sinkhorn recursions performed with the derived kernel. Our derivation for the $\left(\boldsymbol{A}_t,\boldsymbol{B}_t,\boldsymbol{Q}_t\right)$-parametrized kernel pursues a new idea that relies on finding a state-time dependent distance-like functional given by the solution of a deterministic optimal control problem. This technique breaks away from existing methods, such as generalizing Hermite polynomials or Weyl calculus, which have seen limited success in the reaction-diffusion context. Our technique uncovers a new connection between Markov kernels, distances, and optimal control. This connection is of interest beyond its immediate application in solving the linear quadratic Schr\"{o}dinger bridge problem.

Abstract:We revisit the optimal transport problem over angular velocity dynamics given by the controlled Euler equation. The solution of this problem enables stochastic guidance of spin states of a rigid body (e.g., spacecraft) over hard deadline constraint by transferring a given initial state statistics to a desired terminal state statistics. This is an instance of generalized optimal transport over a nonlinear dynamical system. While prior work has reported existence-uniqueness and numerical solution of this dynamical optimal transport problem, here we present structural results about the equivalent Kantorovich a.k.a. optimal coupling formulation. Specifically, we focus on deriving the ground cost for the associated Kantorovich optimal coupling formulation. The ground cost equals to the cost of transporting unit amount of mass from a specific realization of the initial or source joint probability measure to a realization of the terminal or target joint probability measure, and determines the Kantorovich formulation. Finding the ground cost leads to solving a structured deterministic nonlinear optimal control problem, which is shown to be amenable to an analysis technique pioneered by Athans et. al. We show that such techniques have broader applicability in determining the ground cost (thus Kantorovich formulation) for a class of generalized optimal mass transport problems involving nonlinear dynamics with translated norm-invariant drift.




Abstract:For a given ground cost, approximating the Monge optimal transport map that pushes forward a given probability measure onto another has become a staple in several modern machine learning algorithms. The fourth-order Ma-Trudinger-Wang (MTW) tensor associated with this ground cost function provides a notion of curvature in optimal transport. The non-negativity of this tensor plays a crucial role for establishing continuity for the Monge optimal transport map. It is, however, generally difficult to analytically verify this condition for any given ground cost. To expand the class of cost functions for which MTW non-negativity can be verified, we propose a provably correct computational approach which provides certificates of non-negativity for the MTW tensor using Sum-of-Squares (SOS) programming. We further show that our SOS technique can also be used to compute an inner approximation of the region where MTW non-negativity holds. We apply our proposed SOS programming method to several practical ground cost functions to approximate the regions of regularity of their corresponding optimal transport maps.
Abstract:Schr\"{o}dinger bridge--a stochastic dynamical generalization of optimal mass transport--exhibits a learning-control duality. Viewed as a stochastic control problem, the Schr\"{o}dinger bridge finds an optimal control policy that steers a given joint state statistics to another while minimizing the total control effort subject to controlled diffusion and deadline constraints. Viewed as a stochastic learning problem, the Schr\"{o}dinger bridge finds the most-likely distribution-valued trajectory connecting endpoint distributional observations, i.e., solves the two point boundary-constrained maximum likelihood problem over the manifold of probability distributions. Recent works have shown that solving the Schr\"{o}dinger bridge problem with state cost requires finding the Markov kernel associated with a reaction-diffusion PDE where the state cost appears as a state-dependent reaction rate. We explain how ideas from Weyl calculus in quantum mechanics, specifically the Weyl operator and the Weyl symbol, can help determine such Markov kernels. We illustrate these ideas by explicitly finding the Markov kernel for the case of quadratic state cost via Weyl calculus, recovering our earlier results but avoiding tedious computation with Hermite polynomials.
Abstract:Schr\"odinger bridge is a diffusion process that steers a given distribution to another in a prescribed time while minimizing the effort to do so. It can be seen as the stochastic dynamical version of the optimal mass transport, and has growing applications in generative diffusion models and stochastic optimal control. In this work, we propose a regularized variant of the Schr\"odinger bridge with a quadratic state cost-to-go that incentivizes the optimal sample paths to stay close to a nominal level. Unlike the conventional Schr\"odinger bridge, the regularization induces a state-dependent rate of killing and creation of probability mass, and its solution requires determining the Markov kernel of a reaction-diffusion partial differential equation. We derive this Markov kernel in closed form. Our solution recovers the heat kernel in the vanishing regularization (i.e., diffusion without reaction) limit, thereby recovering the solution of the conventional Schr\"odinger bridge. Our results enable the use of dynamic Sinkhorn recursion for computing the Schr\"odinger bridge with a quadratic state cost-to-go, which would otherwise be challenging to use in this setting. We deduce properties of the new kernel and explain its connections with certain exactly solvable models in quantum mechanics.
Abstract:We propose to learn the time-varying stochastic computational resource usage of software as a graph structured Schr\"odinger bridge problem. In general, learning the computational resource usage from data is challenging because resources such as the number of CPU instructions and the number of last level cache requests are both time-varying and statistically correlated. Our proposed method enables learning the joint time-varying stochasticity in computational resource usage from the measured profile snapshots in a nonparametric manner. The method can be used to predict the most-likely time-varying distribution of computational resource availability at a desired time. We provide detailed algorithms for stochastic learning in both single and multi-core cases, discuss the convergence guarantees, computational complexities, and demonstrate their practical use in two case studies: a single-core nonlinear model predictive controller, and a synthetic multi-core software.
Abstract:Lambert's problem concerns with transferring a spacecraft from a given initial to a given terminal position within prescribed flight time via velocity control subject to a gravitational force field. We consider a probabilistic variant of the Lambert problem where the knowledge of the endpoint constraints in position vectors are replaced by the knowledge of their respective joint probability density functions. We show that the Lambert problem with endpoint joint probability density constraints is a generalized optimal mass transport (OMT) problem, thereby connecting this classical astrodynamics problem with a burgeoning area of research in modern stochastic control and stochastic machine learning. This newfound connection allows us to rigorously establish the existence and uniqueness of solution for the probabilistic Lambert problem. The same connection also helps to numerically solve the probabilistic Lambert problem via diffusion regularization, i.e., by leveraging further connection of the OMT with the Schr\"odinger bridge problem (SBP). This also shows that the probabilistic Lambert problem with additive dynamic process noise is in fact a generalized SBP, and can be solved numerically using the so-called Schr\"odinger factors, as we do in this work. We explain how the resulting analysis leads to solving a boundary-coupled system of reaction-diffusion PDEs where the nonlinear gravitational potential appears as the reaction rate. We propose novel algorithms for the same, and present illustrative numerical results. Our analysis and the algorithmic framework are nonparametric, i.e., we make neither statistical (e.g., Gaussian, first few moments, mixture or exponential family, finite dimensionality of the sufficient statistic) nor dynamical (e.g., Taylor series) approximations.
Abstract:The solution of the path structured multimarginal Schr\"{o}dinger bridge problem (MSBP) is the most-likely measure-valued trajectory consistent with a sequence of observed probability measures or distributional snapshots. We leverage recent algorithmic advances in solving such structured MSBPs for learning stochastic hardware resource usage by control software. The solution enables predicting the time-varying distribution of hardware resource availability at a desired time with guaranteed linear convergence. We demonstrate the efficacy of our probabilistic learning approach in a model predictive control software execution case study. The method exhibits rapid convergence to an accurate prediction of hardware resource utilization of the controller. The method can be broadly applied to any software to predict cyber-physical context-dependent performance at arbitrary time.


Abstract:Schr\"{o}dinger bridge is a stochastic optimal control problem to steer a given initial state density to another, subject to controlled diffusion and deadline constraints. A popular method to numerically solve the Schr\"{o}dinger bridge problems, in both classical and in the linear system settings, is via contractive fixed point recursions. These recursions can be seen as dynamic versions of the well-known Sinkhorn iterations, and under mild assumptions, they solve the so-called Schr\"{o}dinger systems with guaranteed linear convergence. In this work, we study a priori estimates for the contraction coefficients associated with the convergence of respective Schr\"{o}dinger systems. We provide new geometric and control-theoretic interpretations for the same. Building on these newfound interpretations, we point out the possibility of improved computation for the worst-case contraction coefficients of linear SBPs by preconditioning the endpoint support sets.