



Abstract:Unmanned aerial vehicle (UAV) is a promising technology for last-mile cargo delivery. However, the limited on-board battery capacity, cellular unreliability, and frequent handoffs in the airspace are the main obstacles to unleash its full potential. Given that existing cellular networks were primarily designed to service ground users, re-utilizing the same architecture for highly mobile aerial users, e.g., cargo-UAVs, is deemed challenging. Indeed, to ensure a safe delivery using cargo-UAVs, it is crucial to utilize the available energy efficiently, while guaranteeing reliable connectivity for command-and-control and avoiding frequent handoff. To achieve this goal, we propose a novel approach for joint cargo-UAV trajectory planning and cell association. Specifically, we formulate the cargo-UAV mission as a multi-objective problem aiming to 1) minimize energy consumption, 2) reduce handoff events, and 3) guarantee cellular reliability along the trajectory. We leverage reinforcement learning (RL) to jointly optimize the cargo-UAV's trajectory and cell association. Simulation results demonstrate a performance improvement of our proposed method, in terms of handoffs, disconnectivity, and energy consumption, compared to benchmarks.




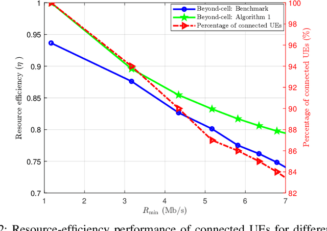
Abstract:In the future, urban regions will encounter a massive number of capacity-hungry devices. Relying solely on terrestrial networks for serving all UEs will be a cost-ineffective approach. Consequently, with the anticipated supply and demand mismatch, several UEs will be unsupported. To offer service to the left-out UEs, we employ an energy-efficient and cost-effective beyond-cell communications approach, which uses reconfigurable intelligent surfaces (RIS) on a high-altitude platform station (HAPS). Particularly, unsupported UEs will be connected to a dedicated control station (CS) through RIS-mounted HAPS. A novel resource-efficient optimization problem is formulated that maximizes the number of connected UEs, while minimizing the total power consumed by the CS and RIS. Since the resulting problem is a mixed-integer nonlinear program (MINLP), a low-complexity two-stage algorithm is developed. Numerical results demonstrate that the proposed algorithm outperforms the benchmark approach in terms of the percentage of connected UEs and the resource-efficiency (RE). Also, the results show that the number of connected UEs is more sensitive to transmit power at the CS than the HAPS size.