



Abstract:Modern deep neural networks (DNNs) are vulnerable to adversarial attacks and adversarial training has been shown to be a promising method for improving the adversarial robustness of DNNs. Pruning methods have been considered in adversarial context to reduce model capacity and improve adversarial robustness simultaneously in training. Existing adversarial pruning methods generally mimic the classical pruning methods for natural training, which follow the three-stage 'training-pruning-fine-tuning' pipelines. We observe that such pruning methods do not necessarily preserve the dynamics of dense networks, making it potentially hard to be fine-tuned to compensate the accuracy degradation in pruning. Based on recent works of \textit{Neural Tangent Kernel} (NTK), we systematically study the dynamics of adversarial training and prove the existence of trainable sparse sub-network at initialization which can be trained to be adversarial robust from scratch. This theoretically verifies the \textit{lottery ticket hypothesis} in adversarial context and we refer such sub-network structure as \textit{Adversarial Winning Ticket} (AWT). We also show empirical evidences that AWT preserves the dynamics of adversarial training and achieve equal performance as dense adversarial training.




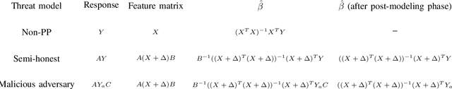
Abstract:Scientific collaborations benefit from collaborative learning of distributed sources, but remain difficult to achieve when data are sensitive. In recent years, privacy preserving techniques have been widely studied to analyze distributed data across different agencies while protecting sensitive information. Secure multiparty computation has been widely studied for privacy protection with high privacy level but intense computation cost. There are also other security techniques sacrificing partial data utility to reduce disclosure risk. A major challenge is to balance data utility and disclosure risk while maintaining high computation efficiency. In this paper, matrix masking technique is applied to encrypt data such that the secure schemes are against malicious adversaries while achieving local differential privacy. The proposed schemes are designed for linear models and can be implemented for both vertical and horizontal partitioning scenarios. Moreover, cross validation is studied to prevent overfitting and select optimal parameters without additional communication cost. Simulation results present the efficiency of proposed schemes to analyze dataset with millions of records and high-dimensional data (n << p).




Abstract:State-of-art deep neural networks (DNN) are vulnerable to attacks by adversarial examples: a carefully designed small perturbation to the input, that is imperceptible to human, can mislead DNN. To understand the root cause of adversarial examples, we quantify the probability of adversarial example existence for linear classifiers. Previous mathematical definition of adversarial examples only involves the overall perturbation amount, and we propose a more practical relevant definition of strong adversarial examples that separately limits the perturbation along the signal direction also. We show that linear classifiers can be made robust to strong adversarial examples attack in cases where no adversarial robust linear classifiers exist under the previous definition. The quantitative formulas are confirmed by numerical experiments using a linear support vector machine (SVM) classifier. The results suggest that designing general strong-adversarial-robust learning systems is feasible but only through incorporating human knowledge of the underlying classification problem.