



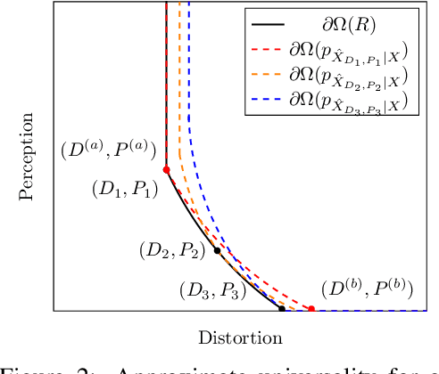
In the context of lossy compression, Blau & Michaeli (2019) adopt a mathematical notion of perceptual quality and define the information rate-distortion-perception function, generalizing the classical rate-distortion tradeoff. We consider the notion of universal representations in which one may fix an encoder and vary the decoder to achieve any point within a collection of distortion and perception constraints. We prove that the corresponding information-theoretic universal rate-distortion-perception function is operationally achievable in an approximate sense. Under MSE distortion, we show that the entire distortion-perception tradeoff of a Gaussian source can be achieved by a single encoder of the same rate asymptotically. We then characterize the achievable distortion-perception region for a fixed representation in the case of arbitrary distributions, identify conditions under which the aforementioned results continue to hold approximately, and study the case when the rate is not fixed in advance. This motivates the study of practical constructions that are approximately universal across the RDP tradeoff, thereby alleviating the need to design a new encoder for each objective. We provide experimental results on MNIST and SVHN suggesting that on image compression tasks, the operational tradeoffs achieved by machine learning models with a fixed encoder suffer only a small penalty when compared to their variable encoder counterparts.