


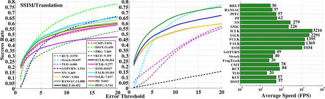
This paper adapts a popular image quality measure called structural similarity for high precision registration based tracking while also introducing a simpler and faster variant of the same. Further, these are evaluated comprehensively against existing measures using a unified approach to study registration based trackers that decomposes them into three constituent sub modules - appearance model, state space model and search method. Several popular trackers in literature are broken down using this method so that their contributions - as of this paper - are shown to be limited to only one or two of these submodules. An open source tracking framework is made available that follows this decomposition closely through extensive use of generic programming. It is used to perform all experiments on four publicly available datasets so the results are easily reproducible. This framework provides a convenient interface to plug in a new method for any sub module and combine it with existing methods for the other two. It can also serve as a fast and flexible solution for practical tracking needs due to its highly efficient implementation.