



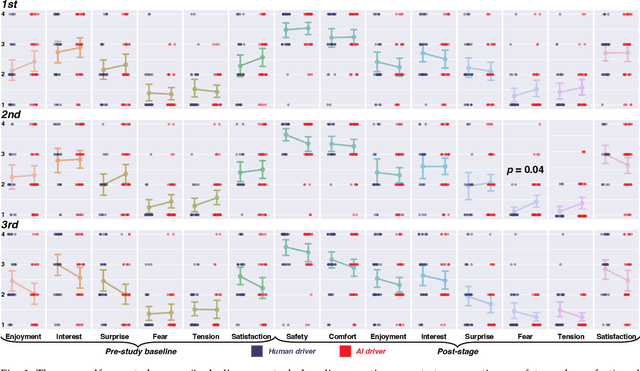
Autonomous cars are indispensable when humans go further down the hands-free route. Although existing literature highlights that the acceptance of the autonomous car will increase if it drives in a human-like manner, sparse research offers the naturalistic experience from a passenger's seat perspective to examine the human likeness of current autonomous cars. The present study tested whether the AI driver could create a human-like ride experience for passengers based on 69 participants' feedback in a real-road scenario. We designed a ride experience-based version of the non-verbal Turing test for automated driving. Participants rode in autonomous cars (driven by either human or AI drivers) as a passenger and judged whether the driver was human or AI. The AI driver failed to pass our test because passengers detected the AI driver above chance. In contrast, when the human driver drove the car, the passengers' judgement was around chance. We further investigated how human passengers ascribe humanness in our test. Based on Lewin's field theory, we advanced a computational model combining signal detection theory with pre-trained language models to predict passengers' humanness rating behaviour. We employed affective transition between pre-study baseline emotions and corresponding post-stage emotions as the signal strength of our model. Results showed that the passengers' ascription of humanness would increase with the greater affective transition. Our study suggested an important role of affective transition in passengers' ascription of humanness, which might become a future direction for autonomous driving.