



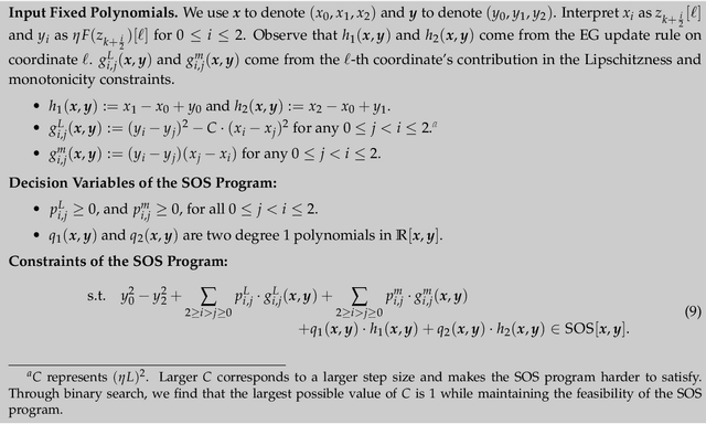
The monotone variational inequality is a central problem in mathematical programming that unifies and generalizes many important settings such as smooth convex optimization, two-player zero-sum games, convex-concave saddle point problems, etc. The extragradient method by Korpelevich [1976] is one of the most popular methods for solving monotone variational inequalities. Despite its long history and intensive attention from the optimization and machine learning community, the following major problem remains open. What is the last-iterate convergence rate of the extragradient method for monotone and Lipschitz variational inequalities with constraints? We resolve this open problem by showing a tight $O\left(\frac{1}{\sqrt{T}}\right)$ last-iterate convergence rate for arbitrary convex feasible sets, which matches the lower bound by Golowich et al. [2020]. Our rate is measured in terms of the standard gap function. The technical core of our result is the monotonicity of a new performance measure -- the tangent residual, which can be viewed as an adaptation of the norm of the operator that takes the local constraints into account. To establish the monotonicity, we develop a new approach that combines the power of the sum-of-squares programming with the low dimensionality of the update rule of the extragradient method. We believe our approach has many additional applications in the analysis of iterative methods.