



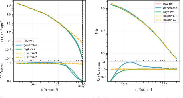
Generative deep learning methods built upon Convolutional Neural Networks (CNNs) provide a great tool for predicting non-linear structure in cosmology. In this work we predict high resolution dark matter halos from large scale, low resolution dark matter only simulations. This is achieved by mapping lower resolution to higher resolution density fields of simulations sharing the same cosmology, initial conditions and box-sizes. To resolve structure down to a factor of 8 increase in mass resolution, we use a variation of U-Net with a conditional GAN, generating output that visually and statistically matches the high resolution target extremely well. This suggests that our method can be used to create high resolution density output over Gpc/h box-sizes from low resolution simulations with negligible computational effort.