



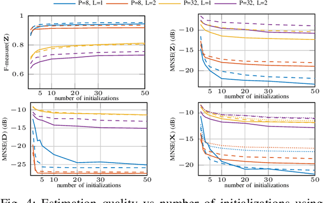
Phase retrieval aims at reconstructing unknown signals from magnitude measurements of linear mixtures. In this paper, we consider the phase retrieval with dictionary learning problem, which includes an additional prior information that the measured signal admits a sparse representation over an unknown dictionary. The task is to jointly estimate the dictionary and the sparse representation from magnitude-only measurements. To this end, we study two complementary formulations and propose efficient parallel algorithms based on the successive convex approximation framework. The first algorithm is termed compact-SCAphase and is preferable in the case of less diverse mixture models. It employs a compact formulation that avoids the use of auxiliary variables. The proposed algorithm is highly scalable and has reduced parameter tuning cost. The second algorithm, referred to as SCAphase, uses auxiliary variables and is favorable in the case of highly diverse mixture models. It also renders simple incorporation of additional side constraints. The performance of both methods is evaluated when applied to blind sparse channel estimation from subband magnitude measurements in a multi-antenna random access network. Simulation results demonstrate the efficiency of the proposed techniques compared to state-of-the-art methods.