



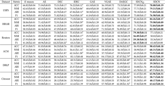
Clustering is a fundamental task in data analysis. Recently, deep clustering, which derives inspiration primarily from deep learning approaches, achieves state-of-the-art performance and has attracted considerable attention. Current deep clustering methods usually boost the clustering results by means of the powerful representation ability of deep learning, e.g., autoencoder, suggesting that learning an effective representation for clustering is a crucial requirement. The strength of deep clustering methods is to extract the useful representations from the data itself, rather than the structure of data, which receives scarce attention in representation learning. Motivated by the great success of Graph Convolutional Network (GCN) in encoding the graph structure, we propose a Structural Deep Clustering Network (SDCN) to integrate the structural information into deep clustering. Specifically, we design a delivery operator to transfer the representations learned by autoencoder to the corresponding GCN layer, and a dual self-supervised mechanism to unify these two different deep neural architectures and guide the update of the whole model. In this way, the multiple structures of data, from low-order to high-order, are naturally combined with the multiple representations learned by autoencoder. Furthermore, we theoretically analyze the delivery operator, i.e., with the delivery operator, GCN improves the autoencoder-specific representation as a high-order graph regularization constraint and autoencoder helps alleviate the over-smoothing problem in GCN. Through comprehensive experiments, we demonstrate that our propose model can consistently perform better over the state-of-the-art techniques.