



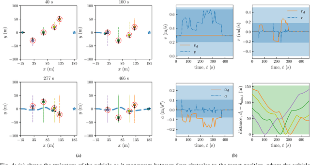
This paper considers collision avoidance for vehicles with first-order nonholonomic constraints maintaining nonzero forward speeds, moving within dynamic environments. We leverage the concept of control barrier functions (CBFs) to synthesize control inputs that prioritize safety, where the safety criteria are derived from the velocity obstacle principle. Existing instantiations of CBFs for collision avoidance, e.g., based on maintaining a minimal distance, can result in control inputs that make the vehicle stop or even reverse. The proposed formulation effectively separates speed control from steering, allowing the vehicle to maintain a forward motion without compromising safety. This is beneficial for ensuring that the vehicle advances towards its desired destination, and it is moreover an underlying requirement for certain vehicles such as marine vessels and fixed-wing UAVs. Theoretical safety guarantees are provided, and numerical simulations demonstrate the efficiency of the strategy in environments containing moving obstacles.