


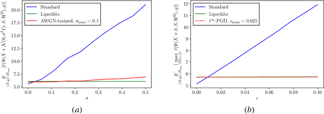
Graph neural networks (GNNs) have recently been demonstrated to perform well on a variety of network-based tasks such as decentralized control and resource allocation, and provide computationally efficient methods for these tasks which have traditionally been challenging in that regard. However, like many neural-network based systems, GNNs are susceptible to shifts and perturbations on their inputs, which can include both node attributes and graph structure. In order to make them more useful for real-world applications, it is important to ensure their robustness post-deployment. Motivated by controlling the Lipschitz constant of GNN filters with respect to the node attributes, we propose to constrain the frequency response of the GNN's filter banks. We extend this formulation to the dynamic graph setting using a continuous frequency response constraint, and solve a relaxed variant of the problem via the scenario approach. This allows for the use of the same computationally efficient algorithm on sampled constraints, which provides PAC-style guarantees on the stability of the GNN using results in scenario optimization. We also highlight an important connection between this setup and GNN stability to graph perturbations, and provide experimental results which demonstrate the efficacy and broadness of our approach.