



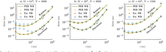
Reconfigurable intelligent surface (RIS) is a promising technological enabler for the 6th generation (6G) of wireless systems with applications in localization and communication. In this paper, we consider the problem of positioning a single-antenna user in 3D space based on the received signal from a single-antenna base station and reflected signal from an RIS by taking into account the mobility of the user and spatial-wideband (WB) effects. To do so, we first derive the spatial-WB channel model under the far-field assumption, for orthogonal frequency-division multiplexing signal transmission with the user having a constant velocity. We derive the Cramer Rao bounds to serve as a benchmark. Furthermore, we devise a low-complexity estimator that attains the bounds in high signal-to-noise ratios. Our estimator neglects the spatial-WB effects and deals with the user mobility by estimating the radial velocities and compensating for their effects in an iterative fashion. We show that the spatial-WB effects can degrade the localization accuracy for large RIS sizes and large signal bandwidths as the direction of arrival or departure deviate from the RIS normal. In particular, for a 64X64 RIS, the proposed estimator is resilient against the spatial-WB effects up to 140 MHz bandwidth. Regarding user mobility, our results suggest that the velocity of the user influences neither the bounds nor the accuracy of our estimator. Specifically, we observe that the state of the user with a high speed (42 m/s) can be estimated virtually with the same accuracy as a static user.