



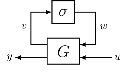
This paper introduces recurrent equilibrium networks (RENs), a new class of nonlinear dynamical models for applications in machine learning and system identification. The new model class has "built in" guarantees of stability and robustness: all models in the class are contracting -- a strong form of nonlinear stability -- and models can have prescribed Lipschitz bounds. RENs are otherwise very flexible: they can represent all stable linear systems, all previously-known sets of contracting recurrent neural networks, all deep feedforward neural networks, and all stable Wiener/Hammerstein models. RENs are parameterized directly by a vector in R^N, i.e. stability and robustness are ensured without parameter constraints, which simplifies learning since generic methods for unconstrained optimization can be used. The performance of the robustness of the new model set is evaluated on benchmark nonlinear system identification problems.