



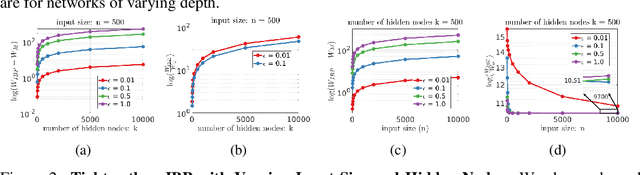
Training Deep Neural Networks (DNNs) that are robust to norm bounded adversarial attacks remains an elusive problem. While verification based methods are generally too expensive to robustly train large networks, it was demonstrated in Gowal et al. that bounded input intervals can be inexpensively propagated per layer through large networks. This interval bound propagation (IBP) approach lead to high robustness and was the first to be employed on large networks. However, due to the very loose nature of the IBP bounds, particularly for large networks, the required training procedure is complex and involved. In this paper, we closely examine the bounds of a block of layers composed of an affine layer followed by a ReLU nonlinearity followed by another affine layer. In doing so, we propose probabilistic bounds, true bounds with overwhelming probability, that are provably tighter than IBP bounds in expectation. We then extend this result to deeper networks through blockwise propagation and show that we can achieve orders of magnitudes tighter bounds compared to IBP. With such tight bounds, we demonstrate that a simple standard training procedure can achieve the best robustness-accuracy trade-off across several architectures on both MNIST and CIFAR10.