



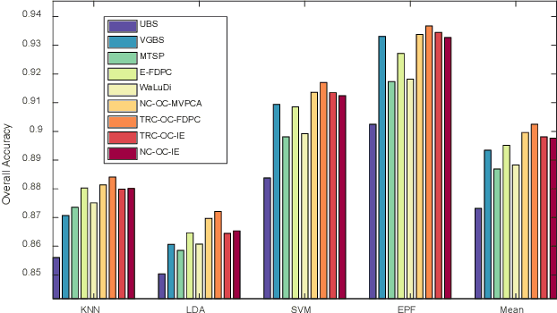
Band selection, by choosing a set of representative bands in hyperspectral image (HSI), is an effective method to reduce the redundant information without compromising the original contents. Recently, various unsupervised band selection methods have been proposed, but most of them are based on approximation algorithms which can only obtain suboptimal solutions toward a specific objective function. This paper focuses on clustering-based band selection, and proposes a new framework to solve the above dilemma, claiming the following contributions: 1) An optimal clustering framework (OCF), which can obtain the optimal clustering result for a particular form of objective function under a reasonable constraint. 2) A rank on clusters strategy (RCS), which provides an effective criterion to select bands on existing clustering structure. 3) An automatic method to determine the number of the required bands, which can better evaluate the distinctive information produced by certain number of bands. In experiments, the proposed algorithm is compared to some state-of-the-art competitors. According to the experimental results, the proposed algorithm is robust and significantly outperform the other methods on various data sets.