



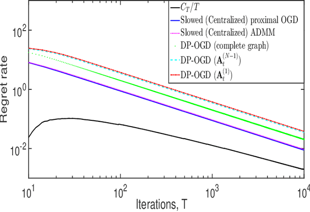
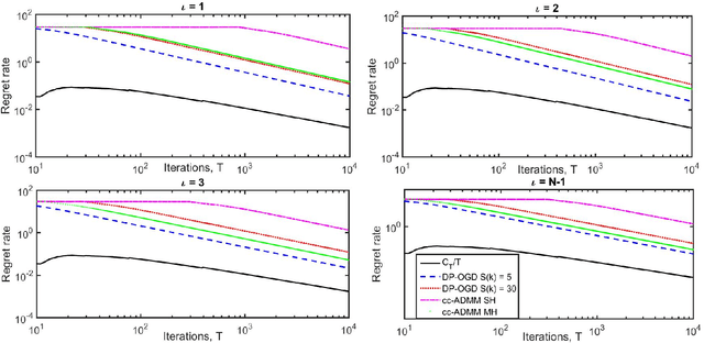
We consider the problem of tracking the minimum of a time-varying convex optimization problem over a dynamic graph. Motivated by target tracking and parameter estimation problems in intermittently connected robotic and sensor networks, the goal is to design a distributed algorithm capable of handling non-differentiable regularization penalties. The proposed proximal online gradient descent algorithm is built to run in a fully decentralized manner and utilizes consensus updates over possibly disconnected graphs. The performance of the proposed algorithm is analyzed by developing bounds on its dynamic regret in terms of the cumulative path length of the time-varying optimum. It is shown that as compared to the centralized case, the dynamic regret incurred by the proposed algorithm over $T$ time slots is worse by a factor of $\log(T)$ only, despite the disconnected and time-varying network topology. The empirical performance of the proposed algorithm is tested on the distributed dynamic sparse recovery problem, where it is shown to incur a dynamic regret that is close to that of the centralized algorithm.