



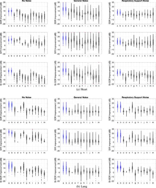
Stethoscope-recorded chest sounds provide the opportunity for remote cardio-respiratory health monitoring of neonates. However, reliable monitoring requires high-quality heart and lung sounds. This paper presents novel Non-negative Matrix Factorisation (NMF) and Non-negative Matrix Co-Factorisation (NMCF) methods for neonatal chest sound separation. To assess these methods and compare with existing single-source separation methods, an artificial mixture dataset was generated comprising of heart, lung and noise sounds. Signal-to-noise ratios were then calculated for these artificial mixtures. These methods were also tested on real-world noisy neonatal chest sounds and assessed based on vital sign estimation error and a signal quality score of 1-5 developed in our previous works. Additionally, the computational cost of all methods was assessed to determine the applicability for real-time processing. Overall, both the proposed NMF and NMCF methods outperform the next best existing method by 2.7dB to 11.6dB for the artificial dataset and 0.40 to 1.12 signal quality improvement for the real-world dataset. The median processing time for the sound separation of a 10s recording was found to be 28.3s for NMCF and 342ms for NMF. Because of stable and robust performance, we believe that our proposed methods are useful to denoise neonatal heart and lung sound in a real-world environment. Codes for proposed and existing methods can be found at: https://github.com/egrooby-monash/Heart-and-Lung-Sound-Separation.