



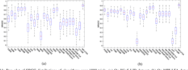
Light field image quality assessment (LFI-QA) is a significant and challenging research problem. It helps to better guide light field acquisition, processing and applications. However, only a few objective models have been proposed and none of them completely consider intrinsic factors affecting the LFI quality. In this paper, we propose a No-Reference Light Field image Quality Assessment (NR-LFQA) scheme, where the main idea is to quantify the LFI quality degradation through evaluating the spatial quality and angular consistency. We first measure the spatial quality deterioration by capturing the naturalness distribution of the light field cyclopean image array, which is formed when human observes the LFI. Then, as a transformed representation of LFI, the Epipolar Plane Image (EPI) contains the slopes of lines and involves the angular information. Therefore, EPI is utilized to extract the global and local features from LFI to measure angular consistency degradation. Specifically, the distribution of gradient direction map of EPI is proposed to measure the global angular consistency distortion in the LFI. We further propose the weighted local binary pattern to capture the characteristics of local angular consistency degradation. Extensive experimental results on four publicly available LFI quality datasets demonstrate that the proposed method outperforms state-of-the-art 2D, 3D, multi-view, and LFI quality assessment algorithms.