



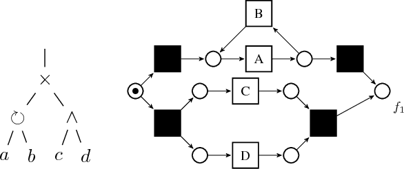
In this paper we describe a method to discover frequent behavioral patterns in event logs. We express these patterns as \emph{local process models}. Local process model mining can be positioned in-between process discovery and episode / sequential pattern mining. The technique presented in this paper is able to learn behavioral patterns involving sequential composition, concurrency, choice and loop, like in process mining. However, we do not look at start-to-end models, which distinguishes our approach from process discovery and creates a link to episode / sequential pattern mining. We propose an incremental procedure for building local process models capturing frequent patterns based on so-called process trees. We propose five quality dimensions and corresponding metrics for local process models, given an event log. We show monotonicity properties for some quality dimensions, enabling a speedup of local process model discovery through pruning. We demonstrate through a real life case study that mining local patterns allows us to get insights in processes where regular start-to-end process discovery techniques are only able to learn unstructured, flower-like, models.