



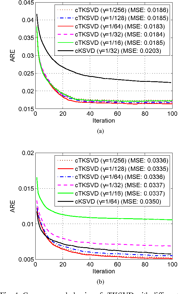
Tensor Compressive Sensing (TCS) is a multidimensional framework of Compressive Sensing (CS), and it is advantageous in terms of reducing the amount of storage, easing hardware implementations and preserving multidimensional structures of signals in comparison to a conventional CS system. In a TCS system, instead of using a random sensing matrix and a predefined dictionary, the average-case performance can be further improved by employing an optimized multidimensional sensing matrix and a learned multilinear sparsifying dictionary. In this paper, we propose a joint optimization approach of the sensing matrix and dictionary for a TCS system. For the sensing matrix design in TCS, an extended separable approach with a closed form solution and a novel iterative non-separable method are proposed when the multilinear dictionary is fixed. In addition, a multidimensional dictionary learning method that takes advantages of the multidimensional structure is derived, and the influence of sensing matrices is taken into account in the learning process. A joint optimization is achieved via alternately iterating the optimization of the sensing matrix and dictionary. Numerical experiments using both synthetic data and real images demonstrate the superiority of the proposed approaches.