



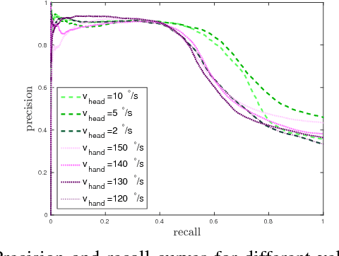
Unlike standard cameras that send intensity images at a constant frame rate, event-driven cameras asynchronously report pixel-level brightness changes, offering low latency and high temporal resolution (both in the order of micro-seconds). As such, they have great potential for fast and low power vision algorithms for robots. Visual tracking, for example, is easily achieved even for very fast stimuli, as only moving objects cause brightness changes. However, cameras mounted on a moving robot are typically non-stationary and the same tracking problem becomes confounded by background clutter events due to the robot ego-motion. In this paper, we propose a method for segmenting the motion of an independently moving object for event-driven cameras. Our method detects and tracks corners in the event stream and learns the statistics of their motion as a function of the robot's joint velocities when no independently moving objects are present. During robot operation, independently moving objects are identified by discrepancies between the predicted corner velocities from ego-motion and the measured corner velocities. We validate the algorithm on data collected from the neuromorphic iCub robot. We achieve a precision of ~ 90 % and show that the method is robust to changes in speed of both the head and the target.