



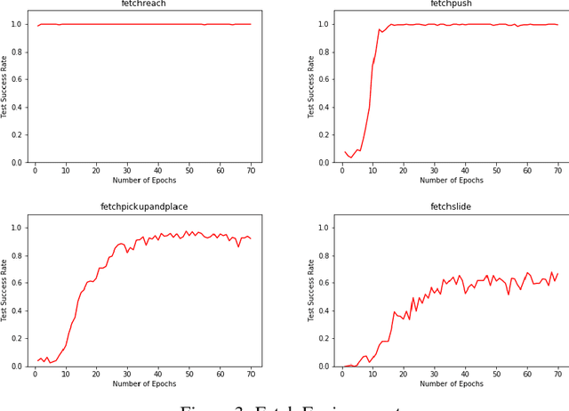
Sparse reward problems are one of the biggest challenges in Reinforcement Learning. Goal-directed tasks are one such sparse reward problems where a reward signal is received only when the goal is reached. One promising way to train an agent to perform goal-directed tasks is to use Hindsight Learning approaches. In these approaches, even when an agent fails to reach the desired goal, the agent learns to reach the goal it achieved instead. Doing this over multiple trajectories while generalizing the policy learned from the achieved goals, the agent learns a goal conditioned policy to reach any goal. One such approach is Hindsight Experience replay which uses an off-policy Reinforcement Learning algorithm to learn a goal conditioned policy. In this approach, a replay of the past transitions happens in a uniformly random fashion. Another approach is to use a Hindsight version of the policy gradients to directly learn a policy. In this work, we discuss different ways to replay past transitions to improve learning in hindsight experience replay focusing on prioritized variants in particular. Also, we implement the Hindsight Policy gradient methods to robotic tasks.