



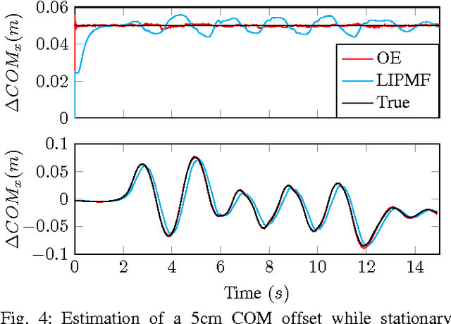
This work presents approaches for the estimation of quantities important for the control of the momentum of a humanoid robot. In contrast to previous approaches which use simplified models such as the Linear Inverted Pendulum Model, we present estimators based on the momentum dynamics of the robot. By using this simple yet dynamically-consistent model, we avoid the issues of using simplified models for estimation. We develop an estimator for the center of mass and full momentum which can be reformulated to estimate center of mass offsets as well as external wrenches applied to the robot. The observability of these estimators is investigated and their performance is evaluated in comparison to previous approaches.