



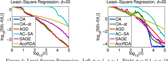
We show that accelerated gradient descent, averaged gradient descent and the heavy-ball method for non-strongly-convex problems may be reformulated as constant parameter second-order difference equation algorithms, where stability of the system is equivalent to convergence at rate O(1/n 2), where n is the number of iterations. We provide a detailed analysis of the eigenvalues of the corresponding linear dynamical system , showing various oscillatory and non-oscillatory behaviors, together with a sharp stability result with explicit constants. We also consider the situation where noisy gradients are available, where we extend our general convergence result, which suggests an alternative algorithm (i.e., with different step sizes) that exhibits the good aspects of both averaging and acceleration.