



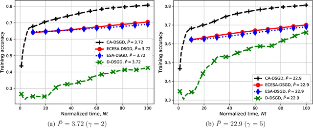
We study federated machine learning at the wireless network edge, where limited power wireless devices, each with its own dataset, build a joint model with the help of a remote parameter server (PS). We consider a bandwidth-limited fading multiple access channel (MAC) from the wireless devices to the PS, and implement distributed stochastic gradient descent (DSGD) over-the-air. We first propose a digital DSGD (D-DSGD) scheme, in which one device is selected opportunistically for transmission at each iteration based on the channel conditions; the scheduled device quantizes its gradient estimate to a finite number of bits imposed by the channel condition, and transmits these bits to the PS in a reliable manner. Next, motivated by the additive nature of the wireless MAC, we propose a novel analog communication scheme, referred to as the compressed analog DSGD (CA-DSGD), where the devices first sparsify their gradient estimates while accumulating error from previous iterations, and project the resultant sparse vector into a low-dimensional vector. We also design a power allocation scheme to align the received gradient vectors at the PS in an efficient manner. Numerical results show that the proposed CA-DSGD algorithm converges much faster than the D-DSGD scheme and other schemes in the literature, while providing a significantly higher accuracy.