



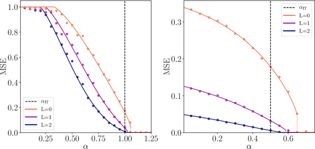
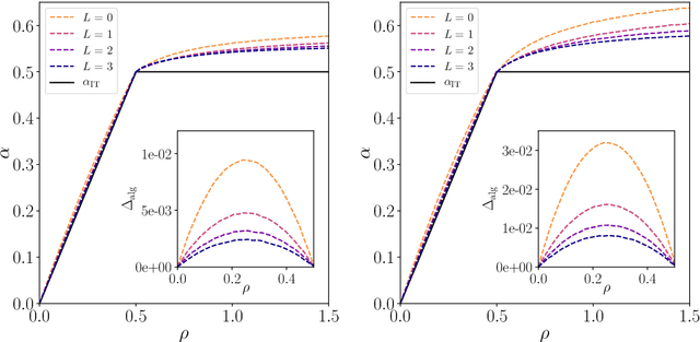
We consider the problem of compressed sensing and of (real-valued) phase retrieval with random measurement matrix. We derive sharp asymptotics for the information-theoretically optimal performance and for the best known polynomial algorithm for an ensemble of generative priors consisting of fully connected deep neural networks with random weight matrices and arbitrary activations. We compare the performance to sparse separable priors and conclude that generative priors might be advantageous in terms of algorithmic performance. In particular, while sparsity does not allow to perform compressive phase retrieval efficiently close to its information-theoretic limit, it is found that under the random generative prior compressed phase retrieval becomes tractable.