



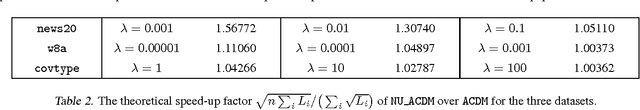
Accelerated coordinate descent is widely used in optimization due to its cheap per-iteration cost and scalability to large-scale problems. Up to a primal-dual transformation, it is also the same as accelerated stochastic gradient descent that is one of the central methods used in machine learning. In this paper, we improve the best known running time of accelerated coordinate descent by a factor up to $\sqrt{n}$. Our improvement is based on a clean, novel non-uniform sampling that selects each coordinate with a probability proportional to the square root of its smoothness parameter. Our proof technique also deviates from the classical estimation sequence technique used in prior work. Our speed-up applies to important problems such as empirical risk minimization and solving linear systems, both in theory and in practice.