



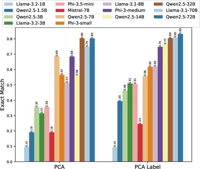
In this work, we focus our attention on developing a benchmark for instruction-following where it is easy to verify both task performance as well as instruction-following capabilities. We adapt existing knowledge benchmarks and augment them with instructions that are a) conditional on correctly answering the knowledge task or b) use the space of candidate options in multiple-choice knowledge-answering tasks. This allows us to study model characteristics, such as their change in performance on the knowledge tasks in the presence of answer-modifying instructions and distractor instructions. In contrast to existing benchmarks for instruction following, we not only measure instruction-following capabilities but also use LLM-free methods to study task performance. We study a series of openly available large language models of varying parameter sizes (1B-405B) and closed source models namely GPT-4o-mini, GPT-4o. We find that even large-scale instruction-tuned LLMs fail to follow simple instructions in zero-shot settings. We release our dataset, the benchmark, code, and results for future work.