



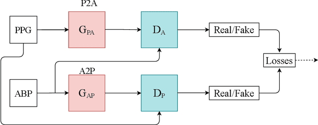
Ischemic heart disease is the highest cause of mortality globally each year. This not only puts a massive strain on the lives of those affected but also on the public healthcare systems. To understand the dynamics of the healthy and unhealthy heart doctors commonly use electrocardiogram (ECG) and blood pressure (BP) readings. These methods are often quite invasive, in particular when continuous arterial blood pressure (ABP) readings are taken and not to mention very costly. Using machine learning methods we seek to develop a framework that is capable of inferring ABP from a single optical photoplethysmogram (PPG) sensor alone. We train our framework across distributed models and data sources to mimic a large-scale distributed collaborative learning experiment that could be implemented across low-cost wearables. Our time series-to-time series generative adversarial network (T2TGAN) is capable of high-quality continuous ABP generation from a PPG signal with a mean error of 2.54 mmHg and a standard deviation of 23.7 mmHg when estimating mean arterial pressure on a previously unseen, noisy, independent dataset. To our knowledge, this framework is the first example of a GAN capable of continuous ABP generation from an input PPG signal that also uses a federated learning methodology.