



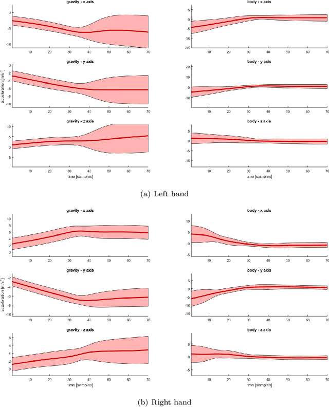
Bimanual gestures are of the utmost importance for the study of motor coordination in humans and in everyday activities. A reliable detection of bimanual gestures in unconstrained environments is fundamental for their clinical study and to assess common activities of daily living. This paper investigates techniques for a reliable, unconstrained detection and classification of bimanual gestures. It assumes the availability of inertial data originating from the two hands/arms, builds upon a previously developed technique for gesture modelling based on Gaussian Mixture Modelling (GMM) and Gaussian Mixture Regression (GMR), and compares different modelling and classification techniques, which are based on a number of assumptions inspired by literature about how bimanual gestures are represented and modelled in the brain. Experiments show results related to 5 everyday bimanual activities, which have been selected on the basis of three main parameters: (not) constraining the two hands by a physical tool, (not) requiring a specific sequence of single-hand gestures, being recursive (or not). In the best performing combination of modeling approach and classification technique, five out of five activities are recognized up to an accuracy of 97%, a precision of 82% and a level of recall of 100%.