


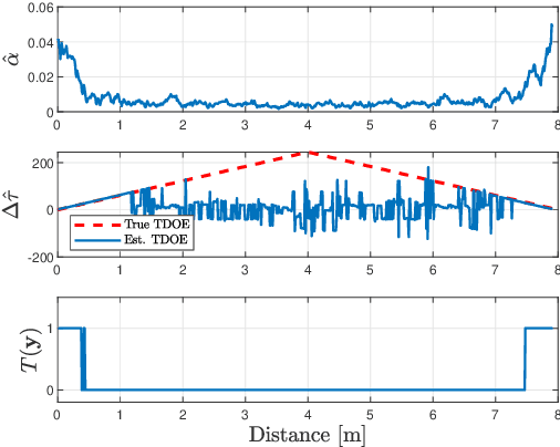
In this paper, we propose a method to estimate the proximity of an acoustic reflector, e.g., a wall, using ego-noise, i.e., the noise produced by the moving parts of a listening robot. This is achieved by estimating the times of arrival of acoustic echoes reflected from the surface. Simulated experiments show that the proposed nonintrusive approach is capable of accurately estimating the distance of a reflector up to 1 meter and outperforms a previously proposed intrusive approach under loud ego-noise conditions. The proposed method is helped by a probabilistic echo detector that estimates whether or not an acoustic reflector is within a short range of the robotic platform. This preliminary investigation paves the way towards a new kind of collision avoidance system that would purely rely on audio sensors rather than conventional proximity sensors.