



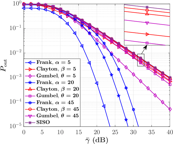
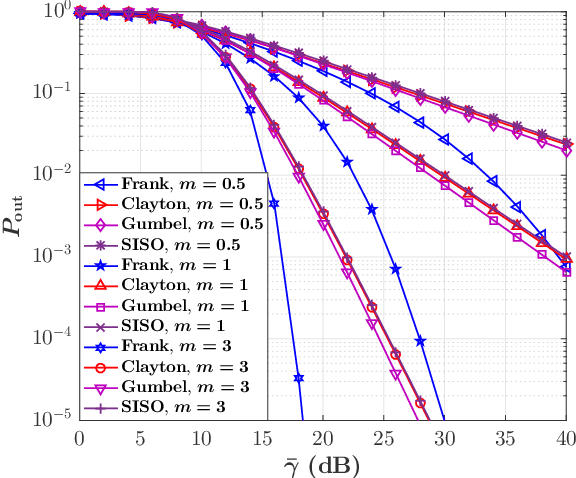
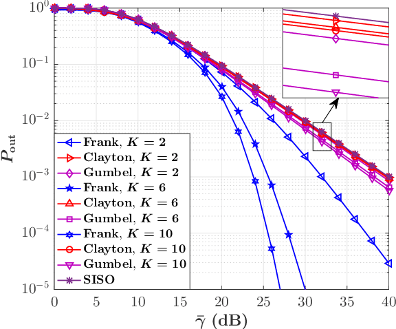
In this letter, we study the performance of a single-user fluid antenna system (FAS) under arbitrary fading distributions, in which the fading channel coefficients over the ports are correlated. We adopt copula theory to model the structure of dependency between fading coefficients. Specifically, we first derive an exact closed-from expression for the outage probability in the most general case, i.e., for any arbitrary choice of fading distribution and copula. Afterwards, for an important specific case, we analyze the performance of the outage probability under correlated Nakagami-$m$ fading channels by exploiting popular Archimedean copulas, namely, Frank, Clayton, and Gumbel. The results demonstrate that FAS outperforms the conventional single fixed-antenna system in terms of the outage probability. We also see that the spatial correlation dependency structure for the FAS is a key factor to determine its performance, which is natively captured through the choice of copula.