



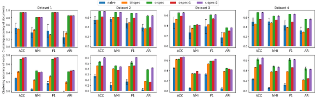
We propose a novel method to co-cluster the vertices and hyperedges of hypergraphs with edge-dependent vertex weights (EDVWs). In this hypergraph model, the contribution of every vertex to each of its incident hyperedges is represented through an edge-dependent weight, conferring the model higher expressivity than the classical hypergraph. In our method, we leverage random walks with EDVWs to construct a hypergraph Laplacian and use its spectral properties to embed vertices and hyperedges in a common space. We then cluster these embeddings to obtain our proposed co-clustering method, of particular relevance in applications requiring the simultaneous clustering of data entities and features. Numerical experiments using real-world data demonstrate the effectiveness of our proposed approach in comparison with state-of-the-art alternatives.