


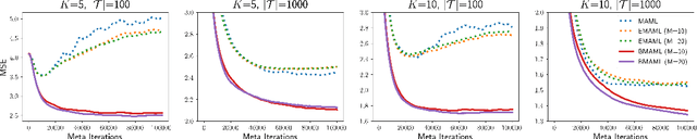
Learning to infer Bayesian posterior from a few-shot dataset is an important step towards robust meta-learning due to the model uncertainty inherent in the problem. In this paper, we propose a novel Bayesian model-agnostic meta-learning method. The proposed method combines scalable gradient-based meta-learning with nonparametric variational inference in a principled probabilistic framework. During fast adaptation, the method is capable of learning complex uncertainty structure beyond a point estimate or a simple Gaussian approximation. In addition, a robust Bayesian meta-update mechanism with a new meta-loss prevents overfitting during meta-update. Remaining an efficient gradient-based meta-learner, the method is also model-agnostic and simple to implement. Experiment results show the accuracy and robustness of the proposed method in various tasks: sinusoidal regression, image classification, active learning, and reinforcement learning.