



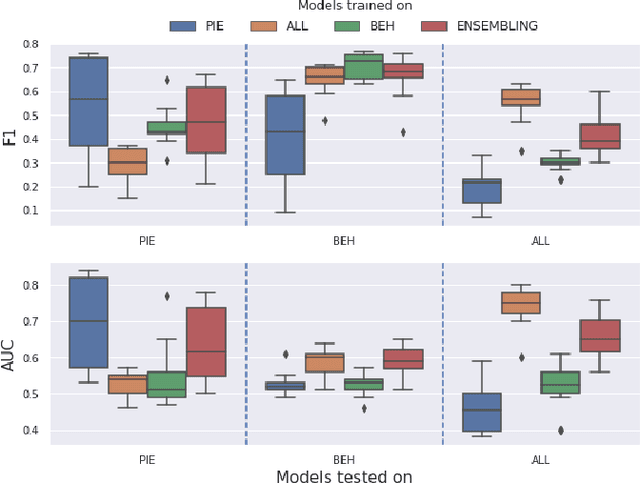
Pedestrian crossing prediction has been a topic of active research, resulting in many new algorithmic solutions. While measuring the overall progress of those solutions over time tends to be more and more established due to the new publicly available benchmark and standardized evaluation procedures, knowing how well existing predictors react to unseen data remains an unanswered question. This evaluation is imperative as serviceable crossing behavior predictors should be set to work in various scenarii without compromising pedestrian safety due to misprediction. To this end, we conduct a study based on direct cross-dataset evaluation. Our experiments show that current state-of-the-art pedestrian behavior predictors generalize poorly in cross-dataset evaluation scenarii, regardless of their robustness during a direct training-test set evaluation setting. In the light of what we observe, we argue that the future of pedestrian crossing prediction, e.g. reliable and generalizable implementations, should not be about tailoring models, trained with very little available data, and tested in a classical train-test scenario with the will to infer anything about their behavior in real life. It should be about evaluating models in a cross-dataset setting while considering their uncertainty estimates under domain shift.