

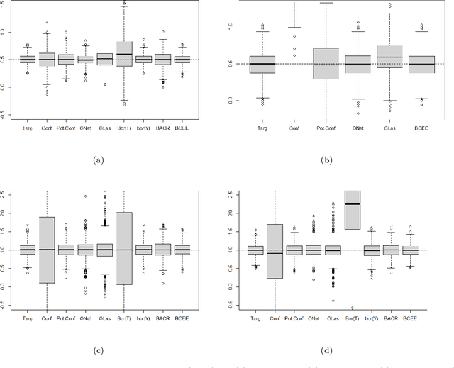
Feature selection is an extensively studied technique in the machine learning literature where the main objective is to identify the subset of features that provides the highest predictive power. However, in causal inference, our goal is to identify the set of variables that are associated with both the treatment variable and outcome (i.e., the confounders). While controlling for the confounding variables helps us to achieve an unbiased estimate of causal effect, recent research shows that controlling for purely outcome predictors along with the confounders can reduce the variance of the estimate. In this paper, we propose an Outcome Adaptive Elastic-Net (OAENet) method specifically designed for causal inference to select the confounders and outcome predictors for inclusion in the propensity score model or in the matching mechanism. OAENet provides two major advantages over existing methods: it performs superiorly on correlated data, and it can be applied to any matching method and any estimates. In addition, OAENet is computationally efficient compared to state-of-the-art methods.