



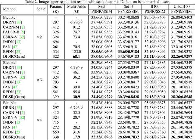
Single Image Super-Resolution (SISR) tasks have achieved significant performance with deep neural networks. However, the large number of parameters in CNN-based methods for SISR tasks require heavy computations. Although several efficient SISR models have been recently proposed, most are handcrafted and thus lack flexibility. In this work, we propose a novel differentiable Neural Architecture Search (NAS) approach on both the cell-level and network-level to search for lightweight SISR models. Specifically, the cell-level search space is designed based on an information distillation mechanism, focusing on the combinations of lightweight operations and aiming to build a more lightweight and accurate SR structure. The network-level search space is designed to consider the feature connections among the cells and aims to find which information flow benefits the cell most to boost the performance. Unlike the existing Reinforcement Learning (RL) or Evolutionary Algorithm (EA) based NAS methods for SISR tasks, our search pipeline is fully differentiable, and the lightweight SISR models can be efficiently searched on both the cell-level and network-level jointly on a single GPU. Experiments show that our methods can achieve state-of-the-art performance on the benchmark datasets in terms of PSNR, SSIM, and model complexity with merely 68G Multi-Adds for $\times 2$ and 18G Multi-Adds for $\times 4$ SR tasks. Code will be available at \url{https://github.com/DawnHH/DLSR-PyTorch}.