



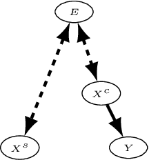
This work considers the out-of-distribution (OOD) prediction problem where (1)~the training data are from multiple domains and (2)~the test domain is unseen in the training. DNNs fail in OOD prediction because they are prone to pick up spurious correlations. Recently, Invariant Risk Minimization (IRM) is proposed to address this issue. Its effectiveness has been demonstrated in the colored MNIST experiment. Nevertheless, we find that the performance of IRM can be dramatically degraded under \emph{strong $\Lambda$ spuriousness} -- when the spurious correlation between the spurious features and the class label is strong due to the strong causal influence of their common cause, the domain label, on both of them (see Fig. 1). In this work, we try to answer the questions: why does IRM fail in the aforementioned setting? Why does IRM work for the original colored MNIST dataset? How can we fix this problem of IRM? Then, we propose a simple and effective approach to fix the problem of IRM. We combine IRM with conditional distribution matching to avoid a specific type of spurious correlation under strong $\Lambda$ spuriousness. Empirically, we design a series of semi synthetic datasets -- the colored MNIST plus, which exposes the problems of IRM and demonstrates the efficacy of the proposed method.