

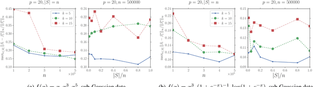
Recently, many machine learning and statistical models such as non-linear regressions, the Single Index, Multi-index, Varying Coefficient Index Models and Two-layer Neural Networks can be reduced to or be seen as a special case of a new model which is called the \textit{Stochastic Linear Combination of Non-linear Regressions} model. However, due to the high non-convexity of the problem, there is no previous work study how to estimate the model. In this paper, we provide the first study on how to estimate the model efficiently and scalably. Specifically, we first show that with some mild assumptions, if the variate vector $x$ is multivariate Gaussian, then there is an algorithm whose output vectors have $\ell_2$-norm estimation errors of $O(\sqrt{\frac{p}{n}})$ with high probability, where $p$ is the dimension of $x$ and $n$ is the number of samples. The key idea of the proof is based on an observation motived by the Stein's lemma. Then we extend our result to the case where $x$ is bounded and sub-Gaussian using the zero-bias transformation, which could be seen as a generalization of the classic Stein's lemma. We also show that with some additional assumptions there is an algorithm whose output vectors have $\ell_\infty$-norm estimation errors of $O(\frac{1}{\sqrt{p}}+\sqrt{\frac{p}{n}})$ with high probability. We also provide a concrete example to show that there exists some link function which satisfies the previous assumptions. Finally, for both Gaussian and sub-Gaussian cases we propose a faster sub-sampling based algorithm and show that when the sub-sample sizes are large enough then the estimation errors will not be sacrificed by too much. Experiments for both cases support our theoretical results. To the best of our knowledge, this is the first work that studies and provides theoretical guarantees for the stochastic linear combination of non-linear regressions model.