


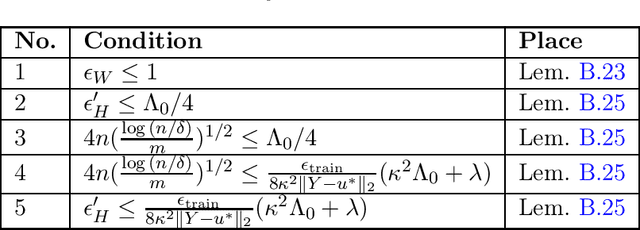
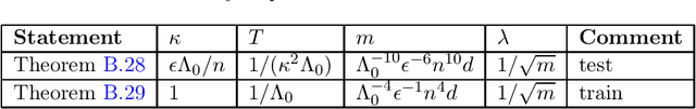
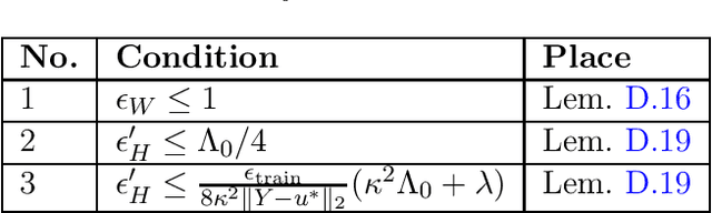
Leverage score sampling is a powerful technique that originates from theoretical computer science, which can be used to speed up a large number of fundamental questions, e.g. linear regression, linear programming, semi-definite programming, cutting plane method, graph sparsification, maximum matching and max-flow. Recently, it has been shown that leverage score sampling helps to accelerate kernel methods [Avron, Kapralov, Musco, Musco, Velingker and Zandieh 17]. In this work, we generalize the results in [Avron, Kapralov, Musco, Musco, Velingker and Zandieh 17] to a broader class of kernels. We further bring the leverage score sampling into the field of deep learning theory. $\bullet$ We show the connection between the initialization for neural network training and approximating the neural tangent kernel with random features. $\bullet$ We prove the equivalence between regularized neural network and neural tangent kernel ridge regression under the initialization of both classical random Gaussian and leverage score sampling.