



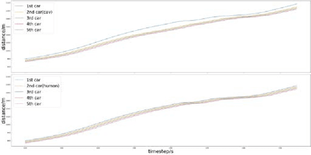
Stop-and-go traffic poses many challenges to tranportation system, but its formation and mechanism are still under exploration.however, it has been proved that by introducing Connected Automated Vehicles(CAVs) with carefully designed controllers one could dampen the stop-and-go waves in the vehicle fleet. Instead of using analytical model, this study adopts reinforcement learning to control the behavior of CAV and put a single CAV at the 2nd position of a vehicle fleet with the purpose to dampen the speed oscillation from the fleet leader and help following human drivers adopt more smooth driving behavior. The result show that our controller could decrease the spped oscillation of the CAV by 54% and 8%-28% for those following human-driven vehicles. Significant fuel consumption savings are also observed. Additionally, the result suggest that CAVs may act as a traffic stabilizer if they choose to behave slightly altruistically.