



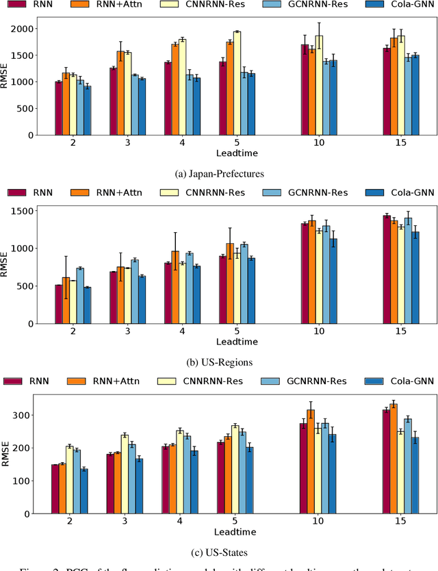
Forecasting influenza-like illness (ILI) is of prime importance to epidemiologists and health-care providers. Early prediction of epidemic outbreaks plays a pivotal role in disease intervention and control. Most existing work has either limited long-term prediction performance or lacks a comprehensive ability to capture spatio-temporal dependencies in data. Accurate and early disease forecasting models would markedly improve both epidemic prevention and managing the onset of an epidemic. In this paper, we design a cross-location attention based graph neural network (Cola-GNN) for learning time series embeddings and location aware attentions. We propose a graph message passing framework to combine learned feature embeddings and an attention matrix to model disease propagation over time. We compare the proposed method with state-of-the-art statistical approaches and deep learning models on real-world epidemic-related datasets from United States and Japan. The proposed method shows strong predictive performance and leads to interpretable results for long-term epidemic predictions.