

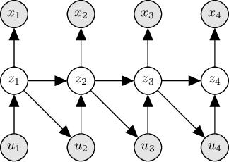
Clinical forecasting based on electronic medical records (EMR) can uncover the temporal correlations between patients' conditions and outcomes from sequences of longitudinal clinical measurements. In this work, we propose an intervention-augmented deep state space generative model to capture the interactions among clinical measurements and interventions by explicitly modeling the dynamics of patients' latent states. Based on this model, we are able to make a joint prediction of the trajectories of future observations and interventions. Empirical evaluations show that our proposed model compares favorably to several state-of-the-art methods on real EMR data.